近日,BBIN宝盈集团,BBIN宝盈集团杨冰教授课题组在拓扑光子学研究领域取得新进展,相关成果以“Unidirectional propagation of helical edge states via exciting pseudospin d states in two-dimensional photonic crystals(《激发赝自旋d态实现螺旋边界态的单向传播》)”为题发表在物理学类权威期刊《Applied Physics Letters》(《应用物理快报》为中科院二区Top期刊,Nature Index收录)上,并被选作Editor's Pick(编辑精选)。
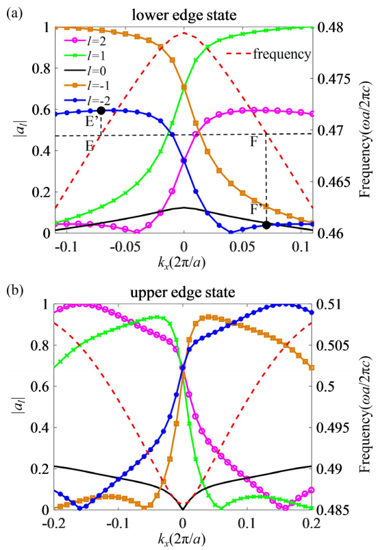
拓扑光子学研究是近年来发展起来的一个新兴研究领域。基于全介电材料的拓扑光子学器件,可以实现光波的无损耗单向传输,这在光通信和光计算领域有很好的应用前景。在该项工作中,课题组基于C6v对称的全介电二维光子晶体结构,设计了具有不同拓扑自旋陈数的光子晶体,通过将两种具有不同自旋陈数的光子晶体相拼接,在它们的交界面上构建了赝自旋锁定的单向传播的螺旋边界态。利用傅里叶分析的方法,课题组研究了螺旋边界态的局域场分布与不同阶赝自旋本征模式的数值关系(如图1a和图1b所示)。研究表明,螺旋边界态中主要包含一阶(l=±1,p态)和二阶(l=±2,d态)的赝自旋本征模式。基于此,课题组设计了具有二阶轨道角动量的赝自旋光源(l=+2)作为激发源,激发了螺旋边界态中的赝自旋d态,实现了螺旋边界态的单向传播(如图2a和图2b所示),并讨论了单向传输的单向隔离率与赝自旋d态在螺旋边界态中占比之间的关系(如图2c所示)。进一步,课题组证实了d态激发的螺旋边界态单向传播的鲁棒性。该工作的开展使人们对自旋光子晶体中螺旋边界态的形成和传播机理有了更深入的理解。
图1 螺旋边界态的赝自旋本征模式分解

图2利用具有二阶轨道角动量的赝自旋光源激发螺旋边界态的单向传输
2020级物理学专业硕士研究生隋文杰为论文第一作者,杨冰教授和张洪方副教授为论文通讯作者,吕增涛副教授,史强副教授和张栋副教授参与了部分工作,BBIN宝盈集团为论文第一单位。该工作得到了山东省自然科学基金(ZR2021MA091)和BBIN宝盈集团博士科研启动基金(318051705)的资助。
论文全文链接:https://doi.org/10.1063/5.0137831
(审稿:刘才龙 )